This is the Linux app named PhaseGo whose latest release can be downloaded as phasego-3.0.0.tar.gz. It can be run online in the free hosting provider OnWorks for workstations.
Download and run online this app named PhaseGo with OnWorks for free.
Follow these instructions in order to run this app:
- 1. Downloaded this application in your PC.
- 2. Enter in our file manager https://www.onworks.net/myfiles.php?username=XXXXX with the username that you want.
- 3. Upload this application in such filemanager.
- 4. Start the OnWorks Linux online or Windows online emulator or MACOS online emulator from this website.
- 5. From the OnWorks Linux OS you have just started, goto our file manager https://www.onworks.net/myfiles.php?username=XXXXX with the username that you want.
- 6. Download the application, install it and run it.
SCREENSHOTS
Ad
PhaseGo
DESCRIPTION
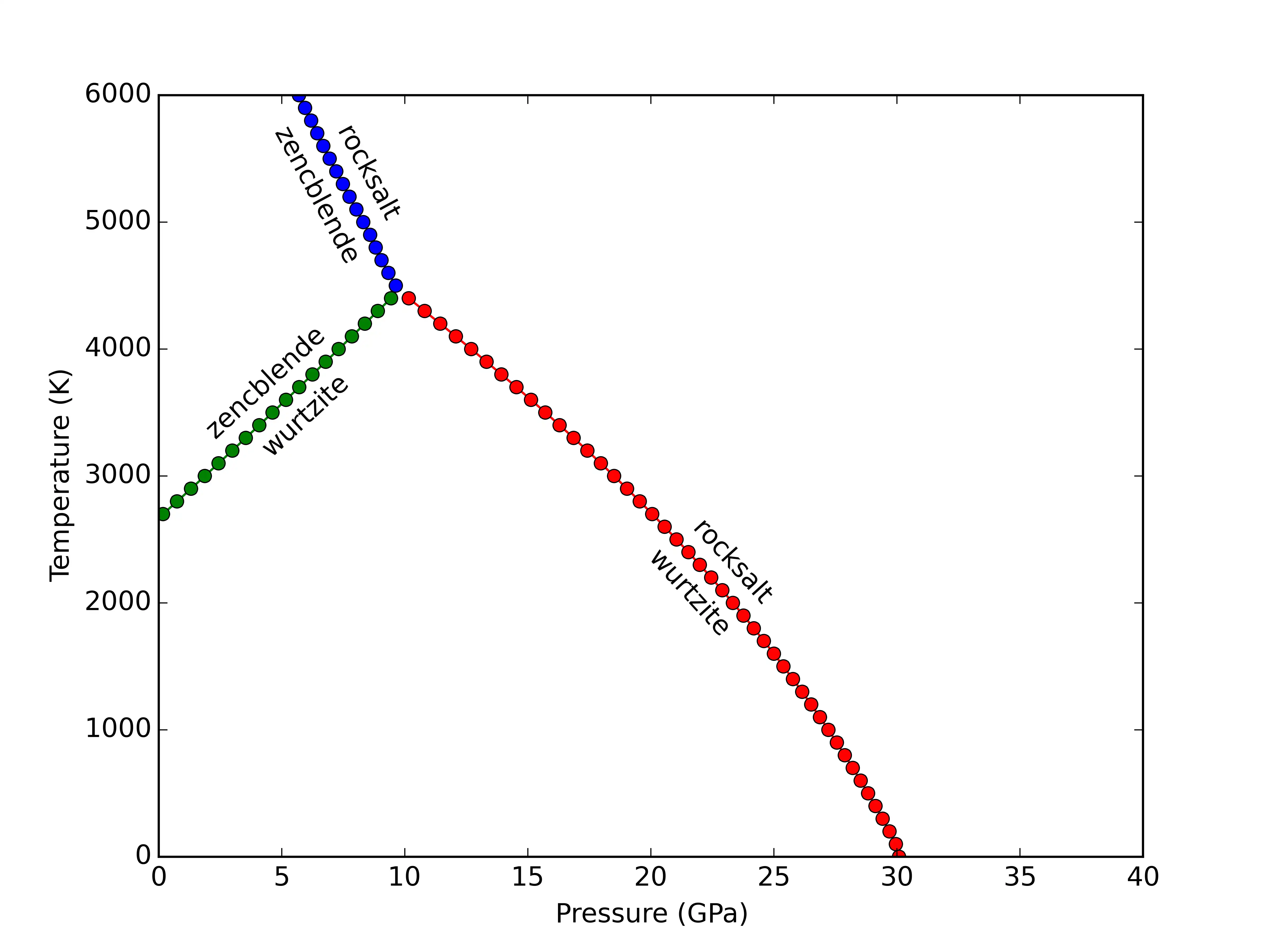
Phasego is designed for the easy implementation of phase transition analysis and plot of phase diagrams. It can also calculate the thermodynamic properties of materials, including the thermal expansion coefficients, the bulk moduli, the heat capacities, the thermal pressures, the Gruneisen parameters, and the Debye temperatures. For the dynamic response properties of materials, Phasego can automatically find the Hugoniot pressure-volume and pressure-temperature relations according to the Rankine-Hugoniot conditions. All these qualities can be obtained based on the quasi-harmonic approximation (QHA) and/or full anharmonic free energy corrections (AFEC) from the high-temperature phonon density of states (DOS). More interestingly, with full anharmonic effects the possible phase boundaries of all the structures provided are analyzed and plotted automatically. So the high pressure and temperature phase diagram can be constructed and plotted easily by Phasego.Features
- Automatic calculation of phase diagram based on QHA
 - Automatic plot of phase diagram
 - Calculation of thermodynamic properties based on QHA
 - Taking into account the electronic thermal excitation free energy
 - Automatic anharmonic corrections
 - Automatic analysis of synthesis and decomposition conditions for compounds
 
This is an application that can also be fetched from https://sourceforge.net/projects/phasego/. It has been hosted in OnWorks in order to be run online in an easiest way from one of our free Operative Systems.


